| 广告联系 | 繁体版 | 手机版 | 微信 | 微博 | 搜索:
欢迎您 游客 | 登录 | 免费注册 | 忘记了密码 | 社交账号注册或登录

首页

新闻资讯

论坛

温哥华地产

大温餐馆点评

温哥华汽车

温哥华教育

黄页/二手

旅游

仅仅是计数:费米的黄金规则(图)


请用微信 扫一扫 扫描上面的二维码,然后点击页面右上角的 ... 图标,然后点击 发送给朋友分享到朋友圈,谢谢!
  在几乎所有的量子力学教材中,都会有一条个性鲜明,带有明显感情色彩的定则,即费米黄金法则(fermi's golden rule)。以科学家名字命名的定理定律效应很多,但是这个为什么会加上黄金这个头衔?


  其实这个定则不是费米提出的,是dirac提出的(1927)。dirac量子化了电磁场,并以此为基础研究了原子的自发辐射,在研究这个问题的时候dirac给出了这个法则的公式。

  大致而言,dirac研究了这样一个问题:一个离散能级,能量上落在某个连续谱中,其与连续谱有耦合,初始时刻系统处在这个离散能级上,那么系统跃迁到连续谱里的几率如何随时间演化?dirac用最简单的微扰论算了下,发现跃迁几率随时间线性地增长。这个结果很好,可以将斜率定义为跃迁速率。


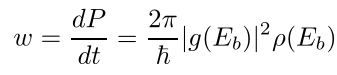
  定量而言,跃迁速率正比于态密度和耦合强度的模方。其表达式如下

  

  此即所谓的费米黄金规则!

  正比于态密度,正比于耦合强度的模方,这是费米黄金规则的两个特征。


  记住这两点,便可以理解很多现象。

  费米本人之所以钟情于这个定则,大概是因为他曾经利用这个定则做过他一生最重要的贡献,即beta衰变理论(1934)。与通常原子的辐射,以及alpha衰变不同,Beta衰变有个很奇怪的特征,即放出的电子的能谱是连续的(见下图)。

  


  按照当时越发流行的量子理论,电子的能量不应该是离散的吗?为此,bohr这种曾经因为大胆而获益的,再次大胆地提出微观领域能量不严格守恒。不过,更聪明的pauli怀疑,可能衰变产物里有第三者,即一个质量非常小的粒子,它带走了部分动量和能量,这使得电子的能量可以取连续值。费米便接过了这个假设,提出了他的beta衰变理论。在他的理论里,一个中子衰变成一个质子和一个电子,外加那个神秘的第三者(即后来的中微子)。考虑到相关粒子的波长应该远大于原子核的尺寸,费米认为从初态到各种末态的耦合强度是个常数,即与电子及中微子的动量大小和取向都无关。这个常数后来叫费米常数。

  那么,接下来,按照上面dirac推导的定则,电子取一定能量或者说动量的几率,正比于相应的态密度。所以,现在的问题无非一个简单的计算态密度的问题!费米随便一算,发现跟实验测得的谱吻合得不错。

  费米很激动,坚信自己的工作将让自己不朽,把文章投到了nature,很快被拒,理由是too speculative。在此打击下,费米从此转向实验研究。很多年后,在给研究生讲原子核物理的时候,费米将dirac的定则称为黄金定则,费米的黄金定则就这样传开了。

  因为懂费米黄金规则,也得过奖的牛人purcell提出了以他命名的着名效应。我们一般讲一个原子有它的固有属性,一个在地球上的铁原子与一个在月球上的铁原子全同。在purcell之前,人们以为一个原子的某个能级的寿命是该原子的固有属性。但是purcell意识到,按照黄金规则,其实原子的自发辐射速率与其所处的环境有关。比如在一个谐振腔里,因为腔壁提供的边界条件,腔模的频谱相比自由空间的情况有改变,也就是态密度有改变;而原子与腔模的耦合强度又与原子所在腔的位置有关。所以,原子的自发辐射可以通过控制其所处环境得到增强或者被抑制。
不错的新闻,我要点赞     好新闻没人评论怎么行,我来说几句
上一页12下一页
注:
  • 新闻来源于其它媒体,内容不代表本站立场!
  • 在此页阅读全文
    猜您喜欢:
    您可能也喜欢:
    我来说两句:
    评论:
    安全校验码:
    请在此处输入图片中的数字
    The Captcha image
    Terms & Conditions    Privacy Policy    Political ADs    Activities Agreement    Contact Us    Sitemap    

    加西网为北美中文网传媒集团旗下网站

    页面生成: 0.0376 秒 and 6 DB Queries in 0.0037 秒